Edukacja
Matura. Matematyka poziom podstawowy. Arkusze i odpowiedzi
Onet.pl opublikował już odpowiedzi z dzisiejszych matur z matematyki. Jak Wam poszło? Sprawdźcie…
Odpowiedzi do arkusza z matematyki będą aktualizowane na bieżąco -Arkusz pobierz tutaj KLIK
1. A
2. D
3. A
4. A
5. C
6. C
7. D
8. D
9. A
10. D
11. B
12. B
13. A
14. A
15. D
16. B
17. C
18. D
19. B
20. C
21. B
22. C
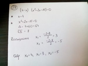
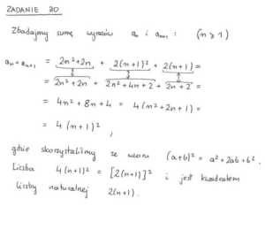
23. D
24. B
25. B
26
27
28
29
30.
Rozwiązania pozostałych zadań znajdziecie tutaj KLIK
Zobacz także: Stary Sącz. Maturzyści i królowa nauk!
Polub nas na Facebooku i bądź na bieżąco: Starosądeckie.info
źródło: Onet.pl/ edulandia.pl































Planujesz wypoczynek w górach? Uważaj na kwatery widmo
Mikołajkowy koncert pełen magii – Szkoła Muzyczna I stopnia w Starym Sączu zachwyciła publiczność
Dziewczęta z DSM-u zapraszają na kiermasz. Zbierają na wakacje.
Drzej. on Starostwo Powiatowe zmieniło klasyfikacje gruntów. Gigantyczne podatki
1 listopada, 2024 o 4:26 pmJa on Starostwo Powiatowe zmieniło klasyfikacje gruntów. Gigantyczne podatki
31 października, 2024 o 4:33 pm19 listopad 2017r. – Zoduski Muzykonckie – Moje Blog on Zoduski Muzykonckie Związku Podhalan w Łącku
10 października, 2023 o 10:49 pm